发布日期:2025-12-19浏览次数:477来源:蓝景科信
染色质重塑复合物是真核生物染色质结构的关键调控因子,通过ATP水解提供能量,调控核小体的组装、滑动、驱逐及组蛋白变体替换,进而影响基因转录、DNA修复及基因组稳定性。与酵母和动物相比,植物作为固着生物,需持续应对复杂多变的环境胁迫,其染色质重塑复合物即保留保守特征,又进化出独特的物种特异性,成为植物实现环境适应性反应的重要分子基础。近年来,借助生物化学、表观基因组学及蛋白质组学等前沿技术,植物染色质重塑机制的研究取得了一系列突破性进展。
2025年9月1日,中山大学联合北京生命科学研究所团队在植物领域顶刊Molecular Plant在线发表了题为“Chromatin remodeling in plants: Complex composition, mechanistic diversity, and biological functions”的综述文章。该文章系统阐述了植物染色质重塑复合物的组成特征、作用机制及核心生物学功能,深入探讨了其在作物改良中的应用潜力与未来研究方向,为植物表观遗传学领域的研究提供了重要参考。
植物染色质重塑的整体概述
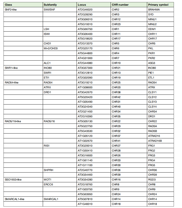
染色质重塑是由酶介导的ATP依赖过程,这些酶(即染色质重塑因子)通过水解ATP调节组蛋白与DNA的相互作用,并通过核小体组装、滑动、驱逐及组蛋白变体整合等方式调控DNA可及性。所有重塑因子均具有ATP酶结构域,且属于ATP依赖的解旋酶超家族2(SF2)。在SF2超家族中,与酿酒酵母Snf2p解旋酶样结构域序列相似的蛋白质构成了SNF2家族。基于序列同源性,这些SNF2家族酶可划分为6个主要类别(SNF2-like、SWR1-like、RAD54-like、RAD5/16-like、SSO1653-like和SMARCAL1-like),包含24个亚家族。拟南芥基因组中含有41个SNF2蛋白,这些蛋白也归入上述6个类别,涵盖了24个亚家族中的18个。

表1. 拟南芥中SNF2家族染色质重塑因子
在SNF2家族中,研究最深入的成员包括SWI/SNF、ISWI、CHD、INO80和SWR1。尽管它们均含有保守的ATP酶结构域,但在辅助结构域上存在显著差异:SWI/SNF含HSA与溴结构域,ISWI以SANT和SLIDE结构域为特征,CHD具有串联染色质结构域,INO80和SWR1则具有带长插入序列的分裂ATP酶结构域。
图1. SWI/SNF、ISWI、CHD、INO80和SWR1染色质重塑ATP酶的结构域结构
不同亚家族的染色质重塑因子具有独特的生化活性和功能属性:
1. SWI/SNF亚家族:可通过核小体滑动、组蛋白八聚体驱逐或二聚体置换改变染色质可及性,是推动染色质开放和转录激活的关键因子;
2. ISWI和CHD亚家族:主要介导核小体组装和间距调控,其DNA结合结构域可作为“分子标尺”,通过选择性识别和量化核小体间的连接DNA片段,实现核小体间距的精准调控。
3. INO80和SWR1亚家族:核心功能为核小体编辑,包括组蛋白变体的整合或排除,其中对H2A变体H2A.Z的调控尤为关键。值得注意的是,拟南芥中还存在ISWI重塑因子与SWR1复合体协同作用的植物特有机制。此外,DDM1、DRD1等SNF2家族成员可参与调控植物DNA甲基化与转录沉默,不过其相关分子机制仍待深入研究。
植物染色质重塑复合体的亚基组成
近年来,通过免疫沉淀-质谱分析等技术,植物SWI/SNF、ISWI、INO80和SWR1复合物的亚基组成已逐步明确,同时还发现了多个植物特有的亚复合体或亚基。
(一)SWI/SNF复合体
SWI/SNF复合体最初在酿酒酵母中通过遗传筛选发现,其同源物广泛存在于果蝇、哺乳动物、拟南芥等真核生物中。不同物种的SWI/SNF亚复合体组成存在差异:哺乳动物中BRG1/BRM可形成cBAF、pBAF、ncBAF三种亚复合体;酵母中存在SWI/SNF和RSC两种,核心酶分别为Swi2/Snf2与Sth1;果蝇Brahma蛋白可组装成BAP和PBAP两种亚复合体。
拟南芥SWI/SNF亚家族含BRM、SYD、MINU1/2四种ATP酶,其中SYD与MINU1/2具有植物特有结构域。近期研究明确其可形成三种亚复合体:以BRM为核心的BAS、以SYD为核心的SAS和以MINU1/2为核心的MAS,其中BAS还可进一步分为功能特异的BAS-A(含SWP73A)和BAS-B(含SWP73B)。
这三种亚复合体共享BCL7A/B、ARP4/7等亚基,同时各有特异性成分:BAS含SWI3C、BRIP1/2等亚基,其中BRIP1/2负责维持复合体稳定性,BRD1/2/13介导复合体的靶标招募;SAS含SWI3D、SYS1/2/3;MAS含SWI3A、SWI3B及多种特有亚基。此外,BCL7A/B可对BAS活性进行精细调控。
与哺乳动物相比,植物SWI/SNF复合体有显著特征:各亚复合体使用不可交换的ATP酶;SAS和MAS缺乏哺乳动物同源亚基,进化出SYS1/2/3等植物特有成分,是植物特有的SWI/SNF复合体。
(二)ISWI复合体
ISWI亚家族重塑因子最初从果蝇中纯化获得,果蝇中其可形成NURF、ACF等多种亚复合体。哺乳动物含SNF2L、SNF2H两种ISWI同源物,二者分别与非催化亚基组装形成八种不同复合体,其中SNF2H呈广泛表达模式,SNF2L具有组织特异性表达特征。
拟南芥的ISWI重塑因子为CHR11与CHR17,DDT结构域蛋白是其复合体的重要组成部分。拟南芥基因组中12个DDT蛋白可分为5类,不同DDT蛋白与CHR11/17可组装形成CRAF、CDM、CDD三种ISWI亚复合体:
1. CRAF复合体:由I类DDT蛋白RLT1/2与植物特有亚基ARID5、FHA2组成。
2. CDM复合体:包含III类DDT蛋白DDP1/2/3及保守亚基MSI3(其同源物存在于果蝇和哺乳动物ISWI复合体中)。
3. CDD复合体:涵盖IV、V类DDT蛋白(如DDR1/3/4/5、DDW1),且未鉴定出其他亚基。
植物特有亚基ARID5、FHA2与CHR11/17的相互作用,提示CHR11/17在植物中可能具有特化功能。
(三)CHD复合体
CHD因子以染色质结构域、解旋酶结构域及类DNA结合基序为特征,高等真核生物中分为CHD1、Mi-2/CHD3、CHD7三个亚家族。酿酒酵母仅含Chd1一种CHD蛋白,而哺乳动物各亚家族成员则具有丰富多样性。CHD ATP酶可通过单体或复合体形式发挥作用,例如人类CHD3参与组蛋白去乙酰化复合体的构成,酵母Chd1常以单体形式执行功能。
植物中CHD1亚家族为单成员代表,拟南芥是CHR5,水稻是CHR705,均含保守的串联染色质结构域。拟南芥CHD3亚家族有PKL、PKR1、PKR2三个成员,水稻则为CHR702等三个成员。PKL被认为主要以单体形式存在,体外实验证实其可催化ATP依赖的染色质重塑,但它是否依赖复合体发挥作用仍待验证。
(四)INO80和SWR1复合体
INO80与SWR1因含带长插入序列的分裂ATP酶结构域,同属INO80/SWR1亚家族。哺乳动物中SWR1有SRCAP、P400两个同源物,该家族共含INO80、SRCAP、P400三个成员,均能形成多亚基复合体,其中INO80复合体可分为ATP酶、HSA、NTD三个模块。
拟南芥INO80复合体含20个亚基,与动物保守的HSA及ATP酶互作亚基对其活性至关重要,而多数植物特有NTD相关亚基则为非必需组分。其NTD模块还含特化III类COMPASS复合体这一植物特有单元。
拟南芥SWR1复合体以PIE1为ATP酶,含多个保守亚基及TRA1A/B等植物特有亚基,其中CHR11/17同时也是ISWI复合体的ATP酶。ARP4是SWR1与INO80复合体的共享成分,在植物中还存在于SWI/SNF等复合体中,可能参与调控染色质相关的关键生物学过程。INO80与SWR1对RIN1/2的共享利用具有进化保守性,但这些共享亚基在不同复合体中的功能差异仍需进一步阐明。
图2. 植物中SWI/SNF、ISWI、INO80和SWR1染色质重塑复合体的亚基组成
染色质重塑与组蛋白修饰及DNA甲基化的关联
除染色质重塑外,DNA甲基化、组蛋白修饰和非编码RNA等过程共同参与染色质动态调控。染色质重塑复合体可通过改变染色质结构,提高DNA甲基转移酶和组蛋白修饰酶对底物的可及性,从而促进位点特异性修饰的发生;反之,组蛋白修饰酶通过位点特异性表观标记促进染色质重塑因子的招募,进而导致染色质结构进一步改变。这种相互作用形成调控反馈环,通过染色质重塑与表观修饰的协同作用,实现对基因表达状态的协调调控。
(一)染色质重塑与组蛋白修饰的关联
植物染色质重塑因子可通过亚基识别特定组蛋白修饰,或与修饰酶协同/拮抗作用,实现功能靶向性调控。拟南芥SWI/SNF复合体的BAS亚基BRD1/2/13可通过溴结构域识别组蛋白乙酰化,MAS亚基BRD5能结合H4K5ac、TPF1可识别H3K4me3,二者均可靶向转录起始位点附近的修饰区域;而SAS亚基缺乏修饰识别结构域,需依赖转录延伸因子SPT6L定位于远端调控区,且SAS的缺失会增强BAS在转录起始位点的占据率。
SWI/SNF与组蛋白修饰酶的相互作用具有功能特异性:BAS中的BRM可分别与HDA6、HAC1协作,通过去乙酰化抑制LPRs转录、通过乙酰化激活气孔发育基因;SAS中的SYD可与GCN5协同促进花发育基因表达;MAS的SWI3B能与HDA6共同抑制转座子的活性。SWI/SNF与PRC2(可催化抑制性修饰H3K27me3)的作用关系较为复杂,BRM/SYD即可通过阻断PRC2结合或招募REF6去甲基化酶拮抗其功能,SYD在特定位点也可与PRC2产生协同作用。
ISWI复合体的CRAF亚基ARID5可通过PHD/ARID结构域结合H3K4me3,CDM亚基DDP1的PHD结构域同样能识别H3K4me3,但植物ISWI与PRC2的功能关联尚待证实。在CHD家族中,水稻CHR729可通过染色质结构域结合H3K4me2,拟南芥PKL则能与PRC2发生物理结合,借助ATP酶活性增加核小体密度,促进H3K27me3的扩散以维持沉默记忆,同时还可与HDA6/9或ATX1作用,分别通过去乙酰化抑制基因表达或通过H3K4me3激活FT基因表达。
在SWR1/INO80亚家族中,SWR1的YAF9A可结合组蛋白H3,AL蛋白可通过识别H3K4me3辅助其招募;INO80的NTD模块整合了COMPASS-III复合体,可促进H3K4me3沉积与转录激活,且PIF4招募INO80后还能协同延伸因子增强RNA聚合酶II的活性。
图3. 染色质重塑与组蛋白修饰的关联性
(二)染色质重塑与DNA甲基化的关联
植物DNA甲基化的从头建立(RdDM通路)与维持过程均依赖染色质重塑因子的参与。RAD54样的CLSYs可辅助PolIV生成24nt siRNAs,其中CLSY3可调控精子的可遗传甲基化;DRD1能与DMS3/RDM1形成DDR复合体,招募PolV至靶位点,通过长非编码RNA引导DRM2建立从头甲基化。SNF2样的DDM1是维持甲基化的关键因子,其可通过重塑活性促进MET1靶向异染色质区域,还能整合H2A.W、介导H3.3向H3.1的替换,并与MET1/HDA6协同维持着丝粒周围区域的沉默。
此外,其他重塑复合体也可参与甲基化调控:SWI/SNF的SWI3B与RdDM通路成分IDN2结合,通过核小体定位抑制基因转录;CHD因子PKL突变会导致半数RdDM靶位点出现甲基化异常;SWR1的MBD9可识别IDM1介导的组蛋白乙酰化,招募复合体整合H2A.Z,进而辅助ROS1完成DNA去甲基化。这些发现表明,重塑因子可同时参与甲基化的建立、维持与去除过程,但各类因子之间的协调机制仍需深入研究。
图4. 染色质重塑介导DNA甲基化
染色质重塑复合物与转录因子的相互作用
染色质重塑因子的基因组靶向性大多依赖转录因子(TFs),二者相互作用是染色质动态调控的关键——重塑复合体可通过重塑染色质结构,为转录因子结合创造可及性条件;转录因子(包括先锋转录因子)则可通过顺式作用元件招募重塑因子。以下为植物中各类重塑复合体与转录因子的相互作用研究进展:
(一)与SWI/SNF复合体相互作用的转录因子
拟南芥中存在大量与SWI/SNF复合体亚基发生相互作用的转录因子。BRM、SYD等亚基可与MP、BP等花序发育相关因子,以及AG、AP1等花身份调控因子协同作用;先锋转录因子LFY能够招募BRM和SYD,激活植物的花发育命运,SAS亚复合体还可为花发育基因构建染色质可及性状态,助力AP1结合。
在激素信号通路中,TCP4(细胞分裂素相关)、BZR1(油菜素类固醇相关)、DELLA蛋白(赤霉素相关)等均能与SWI/SNF亚基互作,调控生长发育相关基因的表达;ABA信号通路中,MYB41可招募BRM与HDA6抑制自身表达。此外,ICE1等胁迫相关转录因子也可与SWI/SNF亚基LFR结合,参与植物的抗冻等胁迫响应。
(二)与CHD复合体(PKL)相互作用的转录因子
VAL1/VAL2可在全基因组范围内促进PKL的招募,同时PKL还能与多种功能转录因子发生互作:与BZR1、CKH1协同调控激素响应基因,与LUX介导DOG1表达的昼夜节律调控;与RBR1共同抑制LBD16启动子活性;与PIF3、HY5协同促进暗形态建成;还可被CO招募至FT位点,调控植物的开花过程。
(三)与INO80/SWR1复合体相互作用的转录因子
INO80复合体可被PIF4、PIF7等转录因子招募,通过去除H2A.Z、调控H3.3沉积,参与植物的温度响应和光照信号调控;EIN3可在温暖温度下与INO80协同调控组蛋白修饰。在辣椒中,SWR1复合体的SWC4可与AGL8互作,激活植物的耐热性相关响应。目前仅证实MADS转录因子可与植物ISWI复合体共同纯化,其潜在转录因子相互作用网络仍有待进一步探索。
图5. 染色质重塑组分与转录因子(TFs)的功能相互作用
染色质重塑在植物生长发育和胁迫响应中的作用
各类染色质重塑复合体是植物生长发育和胁迫适应的核心调控因子。SWI/SNF复合体的BRM、SYD等亚基可参与植物细胞多能性维持、器官发育(花、叶、种子)及激素信号传导,其编码基因的缺失会导致植物生长迟缓、花形态异常等表型,双突变体则会出现致死现象;同时,该复合体还可通过调控胁迫响应基因,平衡植物在高温、干旱、低温及病原体侵染等逆境下的生长与抗性。
ISWI复合体的CHR11/17可调控细胞扩张、营养生长向生殖生长的转变及开花时间,其突变体表现出早花、花器官不育等发育缺陷,且能通过抑制防御基因避免植物产生异常免疫反应。CHD家族的PKL可参与根分生组织活性调控、发育阶段转变及激素信号整合,同时调控植物的冷胁迫和耐旱性,其突变体呈现多器官发育缺陷表型。INO80/SWR1复合体可通过H2A.Z沉积与去除,调控植物的开花、光形态建成和DNA修复过程,还能参与热形态发生及真菌防御响应。
作物中的染色质重塑
染色质重塑在水稻、玉米、大豆等作物的生长适应过程中发挥着关键作用。水稻基因组含有40个SNF2家族蛋白,其中SWI/SNF亚家族的OsBRM、OsSYD可调控胚胎发育与芽的建立,ISWI亚家族的OsCHR11可负调控细菌性叶枯病抗性、正调控耐冷性;CHD家族的CHR729会影响种子萌发、分蘖及叶绿体发育,并通过调控H3K4和H3K27甲基化发挥作用;OsINO80可参与赤霉素合成与转座子沉默,SWR1复合体亚基OsYAF9、OsSWC4能促进节间伸长;SMARCAL1亚家族的LF2是小穗发育关键调控因子。
玉米ZmCHB101能在低氮条件下调节根生长,大豆GmLFR1可负调控耐旱性,小麦PKL会影响种子萌发。尽管部分作物重塑因子的功能已得到表征(如水稻LF2调控小穗发育),但多数因子的作用机制仍尚不明确,有待进一步深入研究。
研究展望
当前植物染色质重塑研究仍存在诸多不足,多数SNF2亚家族成员功能未明,复合物间协同机制不清,DNA修复与染色质重塑的关联尚未深入,且缺乏冷冻电镜解析的复合物结构。未来需结合TurboID邻近标记等新技术,捕获重塑因子与未知蛋白的瞬时相互作用,解析植物特有亚基的结构功能,为作物遗传改良提供理论支撑。
相关技术服务推荐
为支撑染色质重塑领域的深入研究,我司提供以下核心技术服务,覆盖复合物组成分析、表观遗传修饰检测、蛋白互作验证等关键研究方向:
表观遗传修饰检测:ATAC-seq(染色质可及性分析)、ChIP-seq(组蛋白修饰与转录因子结合位点鉴定)、CUT&Tag(低输入样本的组蛋白修饰与蛋白-DNA互作检测)、DAP-seq(转录因子结合位点鉴定);
蛋白互作验证:蛋白 Pull Down(体外验证蛋白- DNA / 蛋白-蛋白互作)、Co-IP/MS(体内鉴定复合物组成与互作蛋白)、BiFC(活细胞内蛋白互作可视化);
其他关联技术:RNA-seq(基因表达谱分析)、DNA 甲基化测序(全基因组DNA甲基化水平检测)、质谱分析(复合物亚基鉴定与定量)